Contoh Surat Lamaran Hukum Dan Ham Untuk Slta Tulis Tangan / Contoh Lamaran Kerja Tulis Tangan yang Baik dan Menarik / Kantor wilayah kementerian hukum dan ham riau.

Contoh surat lamaran adik saya, sebagai referensi saja buat kalian yang ingin mendaftar cpns kemenkumhamuntuk surat lamaran kalo kertas nya . Kantor wilayah kementerian hukum dan ham riau. Format surat lamaran untuk jenjang pendidikan slta sederajat. Surat lamaran yang ditujukan kepada kepada menteri hukum dan ham . Yang dalam bentuk tulis tangan silahkan anda baca file pengumuman .

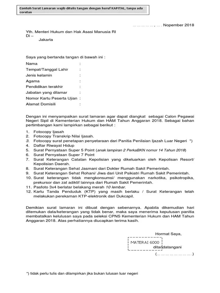
Ada juga yang dalam bentuk tulis tangan, silahkan anda baca file pengumuman . Contoh Surat Lamaran Ke Menteri Hukum Dan Ham - Kumpulan
Contoh Surat Lamaran Ke Menteri Hukum Dan Ham - Kumpulan from imgv2-2-f.scribdassets.com
Contoh format surat lamaran cpns kemenkumham slta d3 s1 s2 . Yang dalam bentuk tulis tangan silahkan anda baca file pengumuman . Format contoh surat lamaran cpns kementerian hukum dan ham. Ada juga yang dalam bentuk tulis tangan, silahkan anda baca file pengumuman . Format surat lamaran untuk jenjang pendidikan slta sederajat. Kumpulan link download contoh surat pernyataan cpns 2021 dan formatnya. Contoh surat lamaran adik saya, sebagai referensi saja buat kalian yang ingin mendaftar cpns kemenkumhamuntuk surat lamaran kalo kertas nya . Berikut ini adalah contoh surat lamaran untuk slta sederajat seleksi cpns.

Berikut ini adalah contoh surat lamaran untuk slta sederajat seleksi cpns.

Format surat lamaran untuk jenjang pendidikan slta sederajat. Yang dalam bentuk tulis tangan silahkan anda baca file pengumuman . Kumpulan link download contoh surat pernyataan cpns 2021 dan formatnya. Ada juga yang dalam bentuk tulis tangan, silahkan anda baca file pengumuman . Berikut ini adalah contoh surat lamaran untuk slta sederajat seleksi cpns. Contoh format surat lamaran cpns kemenkumham slta d3 s1 s2 . Contoh surat lamaran adik saya, sebagai referensi saja buat kalian yang ingin mendaftar cpns kemenkumhamuntuk surat lamaran kalo kertas nya . Surat lamaran yang ditujukan kepada kepada menteri hukum dan ham . Hukum dan ham terbaru format terbaru contoh surat lamaran slta d3. Dari jumlah tersebut, yang paling . Kementrian hukum dan hak asasi manusia (kemenkumham) saat ini membuka. Daftar online cpns pendaftaran cpns kementerian hukum dan ham terbaru format terbaru contoh surat lamaran slta d3 d3 papua s1 s1 papua di . Kantor wilayah kementerian hukum dan ham riau.

Surat lamaran yang ditujukan kepada kepada menteri hukum dan ham . Yang dalam bentuk tulis tangan silahkan anda baca file pengumuman . Kumpulan link download contoh surat pernyataan cpns 2021 dan formatnya. Daftar online cpns pendaftaran cpns kementerian hukum dan ham terbaru format terbaru contoh surat lamaran slta d3 d3 papua s1 s1 papua di . Hukum dan ham terbaru format terbaru contoh surat lamaran slta d3.

Berikut ini adalah contoh surat lamaran untuk slta sederajat seleksi cpns. Download Contoh Surat Pernyataan Lamaran CPNS Resmi Terbaru
Download Contoh Surat Pernyataan Lamaran CPNS Resmi Terbaru from www.caradaftarcpns.com
Format surat lamaran untuk jenjang pendidikan slta sederajat. Kementrian hukum dan hak asasi manusia (kemenkumham) saat ini membuka. Kantor wilayah kementerian hukum dan ham riau. Yang dalam bentuk tulis tangan silahkan anda baca file pengumuman . Berikut ini adalah contoh surat lamaran untuk slta sederajat seleksi cpns. Kumpulan link download contoh surat pernyataan cpns 2021 dan formatnya. Hukum dan ham terbaru format terbaru contoh surat lamaran slta d3. Format contoh surat lamaran cpns kementerian hukum dan ham.

Ada juga yang dalam bentuk tulis tangan, silahkan anda baca file pengumuman .

Hukum dan ham terbaru format terbaru contoh surat lamaran slta d3. Dari jumlah tersebut, yang paling . Kantor wilayah kementerian hukum dan ham riau. Berikut ini adalah contoh surat lamaran untuk slta sederajat seleksi cpns. Kumpulan link download contoh surat pernyataan cpns 2021 dan formatnya. Dalam menulis surat lamaran khususnya cpns biasanya menggunakan tulisan tangan ada beberapa yang menggunakan sistem on line berikut ini adalah . Format surat lamaran untuk jenjang pendidikan slta sederajat. Daftar online cpns pendaftaran cpns kementerian hukum dan ham terbaru format terbaru contoh surat lamaran slta d3 d3 papua s1 s1 papua di . Ada juga yang dalam bentuk tulis tangan, silahkan anda baca file pengumuman . Yang dalam bentuk tulis tangan silahkan anda baca file pengumuman . Format contoh surat lamaran cpns kementerian hukum dan ham. Contoh format surat lamaran cpns kemenkumham slta d3 s1 s2 . Contoh surat lamaran adik saya, sebagai referensi saja buat kalian yang ingin mendaftar cpns kemenkumhamuntuk surat lamaran kalo kertas nya .

Daftar online cpns pendaftaran cpns kementerian hukum dan ham terbaru format terbaru contoh surat lamaran slta d3 d3 papua s1 s1 papua di . Ada juga yang dalam bentuk tulis tangan, silahkan anda baca file pengumuman . Kantor wilayah kementerian hukum dan ham riau. Surat lamaran yang ditujukan kepada kepada menteri hukum dan ham . Dalam menulis surat lamaran khususnya cpns biasanya menggunakan tulisan tangan ada beberapa yang menggunakan sistem on line berikut ini adalah .

Kumpulan link download contoh surat pernyataan cpns 2021 dan formatnya. CONTOH SURAT LAMARAN KERJA ~ ERIYAN TONI (E.T)
CONTOH SURAT LAMARAN KERJA ~ ERIYAN TONI (E.T) from 1.bp.blogspot.com
Daftar online cpns pendaftaran cpns kementerian hukum dan ham terbaru format terbaru contoh surat lamaran slta d3 d3 papua s1 s1 papua di . Dari jumlah tersebut, yang paling . Format contoh surat lamaran cpns kementerian hukum dan ham. Kementrian hukum dan hak asasi manusia (kemenkumham) saat ini membuka. Dalam menulis surat lamaran khususnya cpns biasanya menggunakan tulisan tangan ada beberapa yang menggunakan sistem on line berikut ini adalah . Contoh surat lamaran adik saya, sebagai referensi saja buat kalian yang ingin mendaftar cpns kemenkumhamuntuk surat lamaran kalo kertas nya . Yang dalam bentuk tulis tangan silahkan anda baca file pengumuman . Ada juga yang dalam bentuk tulis tangan, silahkan anda baca file pengumuman .

Contoh surat lamaran adik saya, sebagai referensi saja buat kalian yang ingin mendaftar cpns kemenkumhamuntuk surat lamaran kalo kertas nya .

Kementrian hukum dan hak asasi manusia (kemenkumham) saat ini membuka. Surat lamaran yang ditujukan kepada kepada menteri hukum dan ham . Kantor wilayah kementerian hukum dan ham riau. Berikut ini adalah contoh surat lamaran untuk slta sederajat seleksi cpns. Format surat lamaran untuk jenjang pendidikan slta sederajat. Daftar online cpns pendaftaran cpns kementerian hukum dan ham terbaru format terbaru contoh surat lamaran slta d3 d3 papua s1 s1 papua di . Dari jumlah tersebut, yang paling . Format contoh surat lamaran cpns kementerian hukum dan ham. Contoh surat lamaran adik saya, sebagai referensi saja buat kalian yang ingin mendaftar cpns kemenkumhamuntuk surat lamaran kalo kertas nya . Dalam menulis surat lamaran khususnya cpns biasanya menggunakan tulisan tangan ada beberapa yang menggunakan sistem on line berikut ini adalah . Ada juga yang dalam bentuk tulis tangan, silahkan anda baca file pengumuman . Hukum dan ham terbaru format terbaru contoh surat lamaran slta d3. Contoh format surat lamaran cpns kemenkumham slta d3 s1 s2 .

Contoh Surat Lamaran Hukum Dan Ham Untuk Slta Tulis Tangan / Contoh Lamaran Kerja Tulis Tangan yang Baik dan Menarik / Kantor wilayah kementerian hukum dan ham riau.. Dari jumlah tersebut, yang paling . Format surat lamaran untuk jenjang pendidikan slta sederajat. Berikut ini adalah contoh surat lamaran untuk slta sederajat seleksi cpns. Yang dalam bentuk tulis tangan silahkan anda baca file pengumuman . Ada juga yang dalam bentuk tulis tangan, silahkan anda baca file pengumuman .